Avocado Soup

Recipe #

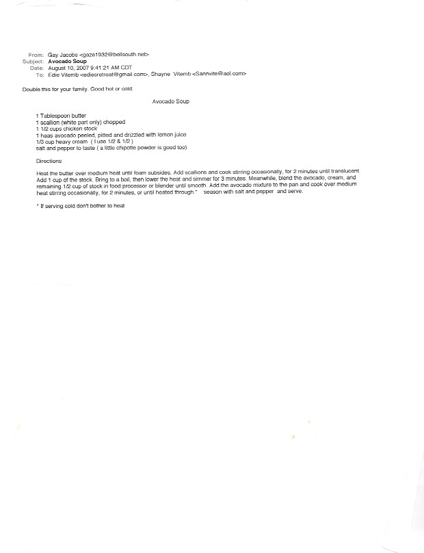
  • See image

Original Scanned Image #